Tasa de Costo Efectivo Anual (TCEA):
Tasa de interés efectiva: es aquella que transparenta el costo o rendimiento efectivo del microcrédito. La tasa efectiva iguala el valor actual de todas las cuotas
y demás pagos que serán efectuados por el cliente con el monto que efectivamente ha recibido en préstamo.
Para este cálculo se incluirán todas las cuotas por monto del principal e intereses, todos los cargos por comisiones, los gastos por servicios provistos por terceros o cualquier otro gasto en los que haya incurrido la Institución,
que de acuerdo a lo pactado serán trasladados al cliente, incluidos los seguros, cuando corresponda. La tasa efectiva será la única que podrá cobrarse a los usuarios de microcrédito. (Ver ejemplo de cálculo)
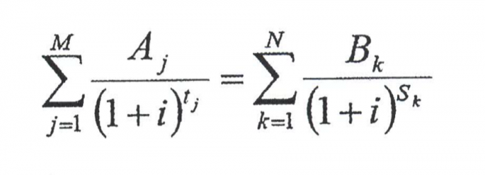
Fórmula de la TCEA:
Donde:
M= Número total de desembolsos del crédito. En caso de créditos con un solo desembolso, esta corresponderá al monto del referido desembolso.
J= Número consecutivo que identifica cada desembolso del crédito.
AJ= Monto del j-ésima desembolso del crédito.
N= Número total de pagos.
K= Número consecutivo que identifica cada pago.
BK= Monto del k-ésimo pago.
TJ= Intervalo de tiempo, expresado en años y fracciones de año, que transcurre entre la fecha en que surte efecto el contrato y la fecha de la j-ésima disposición del crédito.
SK= Intervalo de tiempo, expresado en años y fracciones de año que transcurre entre la fecha en que surte efecto el contrato y la fecha del k-ésimo pago.
